آخر الأخبار |
مناظرات انتداب

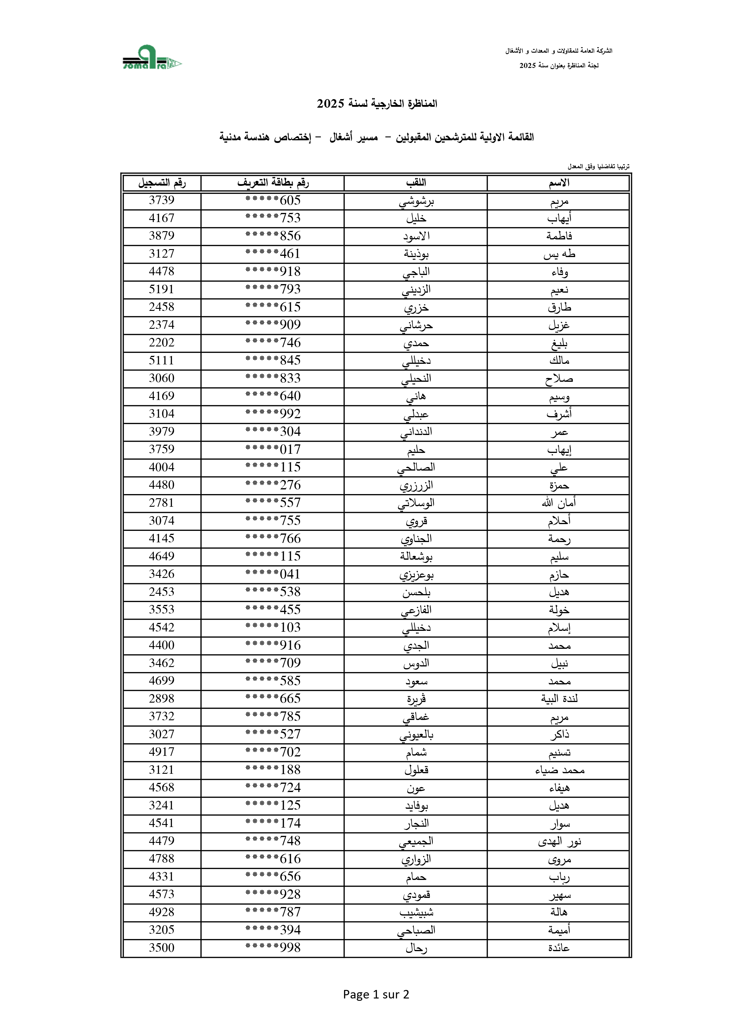
الشركة العامة للمقاولات والمعدات والأشغال : نتائج الفرز الأولي لمناظرة انتداب أعوان تسيير
  
   

التاريخ : 04-03-2026 مطالعات : 106

أعلنت الشركة العامة للمقاولات والمعدات والأشغال عن نتائج الفرز الأولي للمناظرة الخارجية لانتداب أعوان تسيير للعمل بكامل تراب الجمهورية.

الاختصاصات المطلوبة :

  • (6 خطط) مسير أشغال اختصاص هندسة مدنية
  • (1 خطة) مسير أشغال اختصاص هندسة ميكانيكية
  • (1 خطة) مسير أشغال اختصاص هندسة كهربائية
  • (1 خطة) مسير أشغال اختصاص طوبوغرافيا
  • (1 خطة) مسير أشغال اختصاص مخبري

يمكن للراغبين في الإعتراض عن النتائج الأولية للمرحلة الأولى تقديم مطالبهم عبر البريد على العنوان التالي :

الشركة العامة للمقاولات والمعدات والأشغال

ساحة الرصافي ميتيال-فيل

صندوق بريد عدد 69

تونس سيداكس 1080

Place Erroussafi Mutuelleville

BP 69

Tunis Cedex 1080

وذلك قبل يوم 10 مارس 2026.

يمكن الإطلاع على القائمات الإسمية للمترشحين المقبولين أوليا بالوثائق المرفقة.

أخبار في نفس الموضوع

إجابات في نفس الموضوع

أضف تعليقا أو اطلب استشارة حول الموضوع أعلاه الدخول إلى فضاء الإستشارات عن بعد
يتمّ الاحتفاظ بما تكتبه في فضائك الخاصّ دون نشر للعموم، ولا يطّلع عليه إلّا مستشارونا وفريق أورينتيني.   إرسال  

تعريف

هذا الموقع يهدف إلى تقديم معلومات ونصائح ووسائل عمل تساعدك على الاستعداد و اتخاذ القرار سواء كان ذلك في ميدان التعليم، التكوين المهني أو التشغيل. لكنه ليس موقعا رسميّا وهو مستقلّ تماما عن ايّ وزارة أو إدارة رسميّة تعمل في مجالات التوجيه أو التعليم العالي أو الثانوي أو التكوين المهني أو التشغيل.

آراء القراء

Top